In this article, we’ll dive into the problem of reversing a subsection of a singly linked list, specifically between two given positions. We’ll explore the problem, understand a naive approach, and then delve into more efficient solutions to tackle the task. By the end of this read, you’ll be equipped with multiple ways to solve this problem effectively.
If you’re just joining us, it might be helpful to catch up on the previous entries. Want to see more problem-solving techniques? Follow me here on my blog!


Understanding the Problem
Given the head of a singly linked list and two integers left and right where left < = right, our task is to reverse the nodes of the list from position left to position right, and return the modified list.
Example 1:

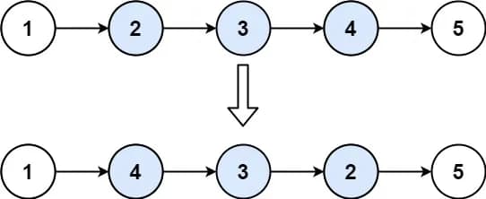
Input: head = [1,2,3,4,5], left = 2, right = 4
Output: [1,4,3,2,5]
Example 2:
Input: head = [5], left = 1, right = 1
Output: [5]
Using Efficient Approach 1: Pointer Manipulation
One efficient approach to solve this problem involves using pointer manipulation to reverse the nodes within the specified range. This method involves three main steps: reaching the left position, reversing the nodes between left and right, and updating the pointers to reflect the changes.
def reverseBetween(
self, head: Optional[ListNode], left: int, right: int
) -> Optional[ListNode]:
dummy = ListNode(0, head)
# 1) reach node at position "left"
leftPrev, cur = dummy, head
for i in range(left - 1):
leftPrev, cur = cur, cur.next
# Now cur="left", leftPrev="node before left"
# 2) reverse from left to right
prev = None
for i in range(right - left + 1):
tmpNext = cur.next
cur.next = prev
prev, cur = cur, tmpNext
# 3) Update pointers
leftPrev.next.next = cur # cur is node after "right"
leftPrev.next = prev # prev is "right"
return dummy.next
Explanation
-
Initialization:
- We use a
dummynode to simplify edge cases where the reversal starts at the head. Thedummynode points to the head of the list. - We set
leftPrevto the dummy andcurto thehead. - We then traverse the list until
curis at theleftposition, updatingleftPrevto the node just beforeleft.
- We use a
-
Reversal:
- We reverse the links between the nodes from
lefttoright. We use aprevpointer initialized toNoneand update it to point to the current node (cur) while advancingcurto the next node (tmpNext). - We repeat this process
right - left + 1times, effectively reversing the section.
- We reverse the links between the nodes from
-
Update Pointers:
- After reversing,
curpoints to the node afterrightandprevpoints to the node atright. - We update the next pointer of the node just before
left(leftPrev.next.next) to point tocur. - We also update
leftPrev.nextto point toprev, completing the reattachment of the reversed section back to the list.
- After reversing,
Time Complexity: O(n), where n is the number of nodes in the list. We traverse the list a constant number of times.
Space Complexity: O(1), as we only use a few extra pointers.

Conclusion
Reversing a subsection of a linked list can be efficiently solved using pointer manipulation techniques. We explored an efficient method that achieves this with optimal time and space complexity.
Understanding these methods enhances your problem-solving skills and prepares you for tackling similar challenges in coding interviews and competitions.
Found this helpful? Follow me for more leetcode adventures! Questions? React out via email.
