In this article, we delve into the problem of reordering a singly linked list and explore two approaches to solve it efficiently. The task involves rearranging the nodes of the list to achieve a specific order. Let’s begin by understanding the problem.
If you’re just joining us, it might be helpful to catch up on the previous entries. Want to see more problem-solving techniques? Follow me here on my blog!


Understanding the Problem
Given the head of a singly linked list, we are to reorder the list in a specific manner:
L0 → Ln → L1 → Ln-1 → L2 → Ln-2 → ...
We may not modify the values in the list’s nodes but can change the nodes themselves.
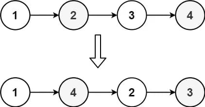
Example 1:

Input: head = [1,2,3,4]
Output: [1,4,2,3]
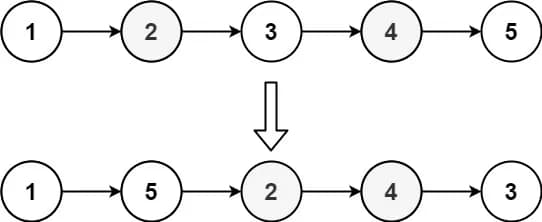
Example 2:

Input: head = [1,2,3,4,5]
Output: [1,5,2,4,3]
Using Efficient Approach 1: Deque-Based Approach
The first approach uses a deque to reorder the list. This method involves storing nodes in a deque and then rearranging them by alternating between the front and back of the deque.
def reorderList(self, head: Optional[ListNode]) -> None:
queue = collections.deque()
currentNode = head.next
while currentNode:
queue.append(currentNode)
currentNode = currentNode.next
currentNode = head
while len(queue) > 1:
currentNode.next = queue.pop()
currentNode = currentNode.next
currentNode.next = queue.popleft()
currentNode = currentNode.next
if queue:
currentNode.next = queue.pop()
currentNode = currentNode.next
currentNode.next = None
Explanation
- Initialization:
- A deque is initialized to store the nodes of the linked list except for the head node.
currentNodeis initialized to the node next to the head.
- Populating the Deque:
- Traverse the linked list and add each node (except the head) to the deque.
- Reordering the List:
- Iterate through the linked list, linking nodes alternatively from the front and back of the deque.
- Connect the
currentNodeto the last node from the deque, then to the first node from the deque. - If there are remaining nodes in the deque, connect the
currentNodeto the last remaining node.
- Final Adjustment:
- Ensure the last node points to
Noneto avoid cycles.
- Ensure the last node points to
How it works
What is happening above? Think about how deque works., for the following testcase:
Test case: [1, 2, 3, 4, 5]
Output AC: [1, 5, 2, 4, 3]
So, If we append every node into deque. Our deque will be : [ 2, 3, 4, 5 ]
deque = [2, 3, 4, 5]
^ ^
| |
popleft() pop()
O(1)T O(1)T
If we pop() then popleft() on each iteration it get popped like this : 5, 2, 4, 3 .
So all we need to do is, based on the popped elements, update the head.next.
Time Complexity: O(n), because we traverse the list once to populate the deque and once more to reorder it.
Space Complexity: O(n), because we store all nodes in the deque.

Using Efficient Approach 2: Two-Pointer Technique
The second approach uses the two-pointer technique to achieve the desired reordering. This involves finding the middle of the list, reversing the second half, and merging the two halves in the required order.
def reorderList(self, head: Optional[ListNode]) -> None:\
leftHead = head
slow = head
fast = head.next
while fast and fast.next:
slow = slow.next
fast = fast.next.next
rightHead = slow.next
slow.next = None
prev, curr = None, rightHead
while curr:
temp = curr.next
curr.next = prev
prev = curr
curr = temp
rightHead = prev
while rightHead:
leftTemp, rightTemp = leftHead.next, rightHead.next
leftHead.next = rightHead
rightHead.next = leftTemp
leftHead = leftTemp
rightHead = rightTemp
Explanation
- Finding the Middle of the List:
- Use slow and fast pointers to find the middle. Slow moves one step at a time, while fast moves two steps at a time.
- Cutting the List into Two Halves:
- Split the list into two halves. The left half remains connected, and the right half starts from the node after the middle node.
- This is achieved in the code by setting the
rightHeadpointer to the node after the middle node (slow.next) and then disconnecting the left half from the right half by settingslow.nextto None.
- Reversing the Second Half:
- Reverse the second half of the list by using the
prev,curr, andtemppointers to reverse the next pointers in each node of the right half.
- Reverse the second half of the list by using the
- Merging the Two Halves:
# This is how our list looks at this point """ [ 1 -> 2 -> 3 ] [4 <- 5 <- 6] ^ ^ | | leftHead rightHead """- Merge the two halves by alternating nodes from each half by iterating through the left and right halves simultaneously and updating the next pointers of the nodes to achieve the desired order.
Time Complexity: O(n), because we traverse the list to find the middle, reverse the second half, and then merge the halves.
Space Complexity: O(1), because we only use a constant amount of extra space.

Conclusion
Reordering a linked list can be efficiently achieved using either a deque-based approach or a two-pointer technique. While the deque method is straightforward, the two-pointer technique offers an optimal solution in terms of space complexity.
Understanding these methods enhances your problem-solving skills and prepares you for tackling similar challenges in coding interviews and competitions.
Found this helpful? Follow me for more leetcode adventures! Questions? React out via email.
